| Superlattices |

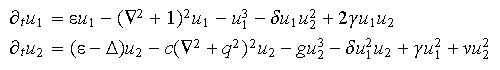
This model uses two coupled Swift-Hohenberg equations with the two fields having different onset values (set by the parameter Delta) at different wave numbers (in the ratio set by the parameter q). There are various non-linear coupling parameters. You can plot the u1 or u2 field by choosing Plot type.
You can run the same equation in a system size twice as large (128 x 128) here.
Demonstrations-1-2-3-4-5-6-7