Swift-Hohenberg Equation - Hexagons


g1 nonzero: Hexagons


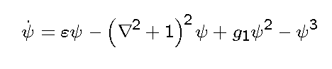
The parameter g1 is nonzero in this demo, so that the equation is not invariant under changing the sign of the field. See demo 1 for details on the numerics, initial condition etc.

Demonstrations-1-2-3